रविवार, २४ नोव्हेंबर – संगमनेर
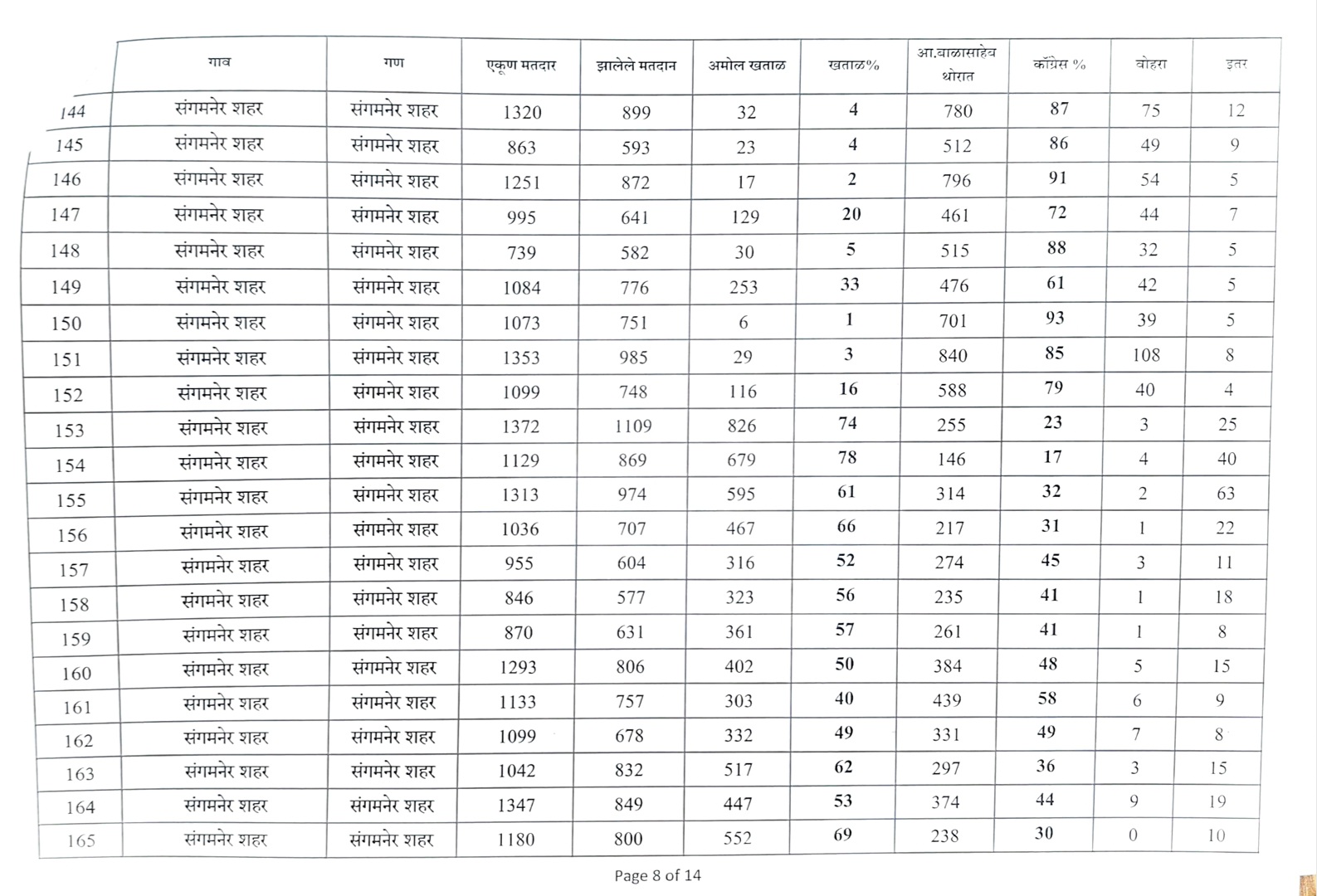
शनिवारी संगमनेर विधानसभा निवडणुकीचा निकाल जाहीर झाला असून या मतदारसंघातून काँग्रेसचे दिग्गज नेते बाळासाहेब थोरात यांचा महायुतीचे उमेदवार अमोल खताळ यांनी १०५६० मतांनी पराभव केला. मतदार संघातील सर्वच गावांमध्ये खताळ यांना थोरात यांच्यापेक्षा निर्णायक आघाडी मिळाली.
टपाली मतदानामध्ये खताळ यांना ८९१ तर थोरात यांना २१८३ मते मिळाली. या निवडणुकीत अमोल खताळ यांना १,१२,३८६ तर थोरात यांना १,०१,८२६ मते मिळाली.
थोरात आणि खताळ यांना मतदान केंद्र आणि गाव निहाय मिळालेली मते पुढील प्रमाणे… इमेज झूम करून बघा..

















